收藏本站
首页
公司概况
公司简介
公司规模
公司荣誉
产品中心
新闻动态
企业资讯
行业报道
医药知识
商务招商
联系我们
人才招聘
新利网上注册首页(中国)官方网站
新闻动态
企业资讯
行业报道
医药知识
当前位置:
首页
>
企业资讯
>
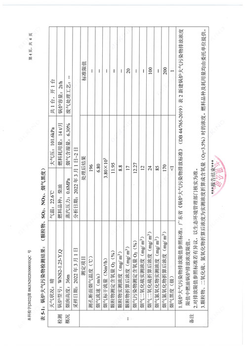
2022年3月废气检测
2022年3月废气检测
发布时间:2022-04-29 10:33:53 点击数:
上一篇:
2022年2月废气检测
下一篇:
2022年3月废水检测
官方微信扫一扫
关注淘宝最新优惠
江南注册大厅
|
球速在线
|
平博手机站·官方版在线
|
三亿体育_三亿(中国)一站式服务官方网站
|
9YOU.COM
|
球友会手机登录入口
|
安博站·官方版网站登录入口
|
球友会手机官方网站入口
|